zur Übersicht nächste Seite

Elektrostatik Kondensator

Jeder kennt die elektrische Aufladung von Haaren oder Kleidung. Messen kann man diese mit einem Elektroskop. Aber man kann schon mit einer einfachen Vorrichtung die Wirkung der Elektrostatik sichtbar machen. Z.B. kann man verwenden:
2x gelochter Metallstreifen des Büroartikels Abheftstreifen,
2x Sticknadeln der Stärke 20,
1x Stecknadel.
Die Metallstreifen kann man rechtwinklig abknicken und auf ein Holzbrettchen schrauben. Die Stecknadel steckt man durch die Mitte der Ösen der beiden Sticknadeln und schiebt schiebt diese zu den Enden der Ösen, einmal nach oben und einmal nach unten. Dann mittig aneinanderschieben - es entsteht ein Kreuz das an einer Seite etwas schwerer ist als an der anderen Seite. Dadurch steht das Kreuz aufrecht wenn man es durch die Löcher der Metallstreifen schiebt:

       

Nun kann man ein Strickstück testen indem man dieses eine kurze Zeit aneinanderreibt. Anschließend nähert man das Strickstück der oberen Sticknadelspitze ohne diese jedoch zu berühren.
Als erstes ein Strickstück aus 100% Polyacryl - die Nadel bewegt sich sehr stark.

Andere Strickstücke zeigen aber keine Bewegung der Nadel: 100% Wolle, 100% Baumwolle, 100% Leinen, 100% Viskose zeigen keine sichtbare Reaktion. Dies legt den Schluß nahe, daß bei der Kleidung Synthetic-Garne eine elektrostatische Aufladung bewirken, Naturgarne aber neutral bleiben. Dann aber:
Ein Strickstück aus 100% Seide - die Nadel bewegt sich sehr stark.
Dann ein Strickstück aus 60% Wolle und 40% Polyacryl: keine sichtbare Reaktion.
Der Anteil der Wolle scheint die Polyacryl-Aufladung zu kompensieren. Reibt man aber dieses Mischgarn an dem Strickstück aus 100% Baumwolle und nähert dann das Mischgarn der Sticknadelspitze - die Nadel bewegt sich sehr stark. 
Das bedeuted daß bei der Kleidung auch die Kombination eines Rolli oder Shirt aus 100% Baumwolle und darüber getragen ein Strickpulli aus Polyacryl-Mischgarn eine elektrostatische Aufladung bewirkt. Ein darüber getragener Strickpulli aus 100% Wolle zeigt dagegen keine Aufladung. Man muß also das Aneinander-Reiben der verschiedenen getragenen Stoffe berücksichtigen. 
Es ist auch möglich daß chemische Prozesse bei der Herstellung von Fäden Auswirkungen hat. Jeder kann seine eigenen Tests durchführen. Diese einfache Test-Vorrichtung zeigt nur daß eine Aufladung stattgefunden hat. Aber es ist nicht möglich zu erkennen ob es positive oder negative Ladungen sind. Das ist einer Person auch gleichgültig wenn sie einen kleinen elektrischen Schlag bekommt.
Die übliche Vorstellung bei einer elektrostatischen Aufladung ist: ein Stoff lädt sich negativ auf und der andere positv, was eine Ladungstrennung bedeuted. Aber auf jedem Stoff gibt es winzige mosaikartig angeordnete Stellen mit positiven und negativen Ladungen, nur daß eine der Ladungen überwiegt. Man vergleiche dazu:

https://www.welt.de/wissenschaft/article13447971/Warum-uns-die-Haare-manchmal-zu-Berge-stehen.html

Reibungs-Elektrostatik ist eigentlich bei jedem Stoff vorhanden,
auch bei Naturgarnen (die mosaikartigen Stellen sind dann ziemlich gleichmäßig verteilt),
auch bei Flüssigkeiten,
auch bei Gasen (man denke nur an die Aufladung von Gewitterwolken)
- nur oftmals nicht direkt zu bemerken. Aber man kann beobachten: so führt das Stricken mit Metallnadeln immer wieder zu Gelenkschmerzen, während das Stricken mit nichtleitendem Holz oder Bambus schmerzfrei bleibt - legt das nicht nahe daß Reibungs-Elektrostatik durch Metall in die Nervenbahnen geleitet wird? Infos zu Elektrostatik:

https://de.wikipedia.org/wiki/Elektrostatische_Entladung

Ladungstrennung führt auch zu Batterien und Kondensatoren.

Schließt man einen Kondensator an eine Batterie an so lädt sich der Kondensator auf:

Zur Erklärung benutzt man den Gedanken daß sich Elektronen-Teilchen auf den Platten sammeln. Die Ladung der Kondensatorplatten kann man dann mit einer zeitabhängigen Ladungs-Funktion Q = Q(t) beschreiben, Q gemessen in Coulomb. Diese Funktion beschreibt also im Grunde wieviele Elektronen auf den Platten sitzen und sollte folglich eine Art Treppenstufenfunktion sein. Denn jedes Elektronen-Teilchen hat die gleiche Elemantarladung, kommt z.B. ein neues Elektron dazu springt die Funktion eine Stufe mit der Elementarladung höher. Diese Elementarladung wurde gemessen mit 
1,602.10-19 Coulomb, 
also ein extrem kleiner Wert. Bei der folgenden Modellrechnung wird angenommen daß diese Funktion Q(t) keine Treppenstufenfunktion sondern glatt und differenzierbar ist. 

Die Spannung U (gemessen in Volt V) am Kondensator ist proportional der Ladung Q. Der Proportionalitätsfaktor C wird als Kapazität des Kondensators bezeichnet 
und in F gemessen, 1F=1Coulomb/1Volt.

Die zeitliche Änderung der Ladung ergibt den fließenden Strom I,
gemessen im Ampere A
1A=1Coulomb/1Sekunde.

Bei einer Entladung des Kondensators über einen Widerstand R (gemessen in Ω, 1Ω=1Volt/1Ampere) gleichen sich die Ladungen aus.

Die Ladungs-Funktion Q(t) ist somit eine fallende Funktion,
also ist die Ableitung negativ, 
also ist der Strom negativ 
und es ergibt sich für den mit positiven Werten gemessenen Strom I(t)

Im Schaubild

Der Kondensator wird sich also nie vollständig entladen solange ein Widerstand R vorhanden ist. 
Es ist dringend davon abzuraten die leitenden Beinchen des Kondensators mit einem leitenden Draht zu verbinden - selbst ein zu klein gewählter Widerstand kann verbrennen. Der Kurzschluß eines Kondensators kann lebensgefährlich sein, eine Explosion verursachen oder Halbleiter beschädigen. 

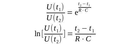
Ferner kann man die obige Gleichung umformen zu

Betrachtet man eine feste Anfangszeit t1 und möchte man berechnen wieviel Zeit T verstreicht damit die Spannung U(t1) nur noch halb so groß ist - Halbwertszeit T -
so setzt man t2=t1+T und U(t1+T)=U(t1)/2 und erhält
T = RC ln 2 ~ 0,693 RC
Entsprechend bei der Reduzierung der Spannung auf 1%
T1% = RC ln 100 ~ 4,605 RC

Die Dimension von RC ist Sekunden:
Ω.F = V/A . Coulomb/V = Coulomb/A = s

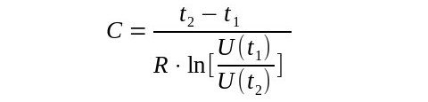
Die letzte Gleichung kann man nach C auflösen:

Mit dieser Gleichung kann man durch Messung der Spannung zu zwei verschiedenen Zeiten die Kapazität C eines Kondensators berechnen.


zur Übersicht nächste Seite

Datenschutzerklärung
Impressum