|
Distributionen Zunächst eine Anmerkung zum Begriff der Funktion.Eine Funktion f ist eine Vorschrift die bestimmten x-Werten (Definitionsbereich) y-Werte (Wertebereich) zuordnet. f(x) ist die Zahl die von der Funktion dem Wert x zugeordnet wird, also ein ganz bestimmter Zahlenwert. Eine Funktion kann monoton wachsend sein, ein Maximum haben, differenzierbar sein, umkehrbar sein, .... Ein bestimmter Funktionswert f(x) ist lediglich eine Zahl und diese Zahl ist nicht differenzierbar, nicht stetig, nicht monoton,.... Also müßte man zunächst Funktionen definieren. |
| Diese
Funktionen-Schreibweise ist unübersichtlich und so bleibt man lieber bei
der unteren Schreibweise und behält im Kopf daß Funktionen f gemeint
sind - schließlich weiß man daß Funktionswerte f(x) als Zahlenwerte
nicht differenziert werden können. Man kann sich besonders schöne Funktionen anschauen. Solche die ∞ unendlich oft differenzierbar sind, k die außerhalb eines endlichen Intervalles (a,b) überall 0 sind, + die überall nichtnegativ sind und 1 die den Flächeninhalt 1 haben: |
| Anschaulich ist es einleuchtend daß es solche Funktionen gibt. Aber in der Mathematik braucht man konkrete Beispiele: |
| Man kann nachprüfen daß
diese Funktion außerhalb des Intervalles (-a,+a) immer 0 und überall nichtnegativ ist (per Definition), daß diese Funktion unendlich
oft differenzierbar ist und einen Flächeninhalt besitzt. Multipliziert
man diese Funktion mit dem Faktor 1/Flächeninhalt so hat man eine Beispiel-Funktion aus Natürlich kann man diese Funktionen in ein beliebiges Intervall (a,b) verschieben. Man nennt diese Funktionen auch Testfunktionen. |
| Verkleinert man das
Intervall (-a,+a) immer mehr, a Wieder einmal hat man den "Beweis" daß 1=0 ist ? Man kann sogar noch weiter gehen und spekulieren, daß es auf dem Intervall (-a,+a) auch Testfunktionen aus Die Problematik ist es den Begriff einer Funktion zu überprüfen und zu sagen was der Abstand zweier Funktionen sein soll, damit man davon sprechen kann daß sich Funktionen einander annähern. Dazu kann man sich zunächst an den Mittelwertsatz für stetige Funktionen erinnern: |
| Gibt man einen x-Wert A vor
so kann man für v>0 Intervalle (A-v,A+v) betrachten die in der folgenden Grafik
grün markiert sind. Dann wählt man Testfunktionen die außerhalb dieser Intervalle 0 sind. Diese sind in der folgenden Grafik rechts symbolisiert. Dann existieren Zwischenwerte im Intervall [A-v,A+v] so daß die Berechnung mit der Testfunktion nahe an dem Funktionswert f(A) liegen. Der Bereich in dem sich die angenäherten Werte bewegen wurde rot markiert. Beispiele für berechnete angenäherte Funktionswerte wurden durch rote Kreuze markiert. |
| Für v Zwischenwerten und aufgrund der Stetigkeit der Funktion f gilt f(Zwischenwerten) Damit kann man die Zuordnung von x zu f(x) zurückbekommen. Es ist eine andere Art die Funktion zu beschreiben. Dies führt zu folgender Definition: |
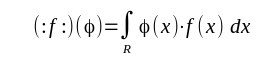
| Es gibt hierbei keine Beziehung zwischen x und y mehr,
sondern eine Beziehung zwischen Testfunktionen aus Mit Distributionen läßt sich die Dirac-Delta-Funktion |
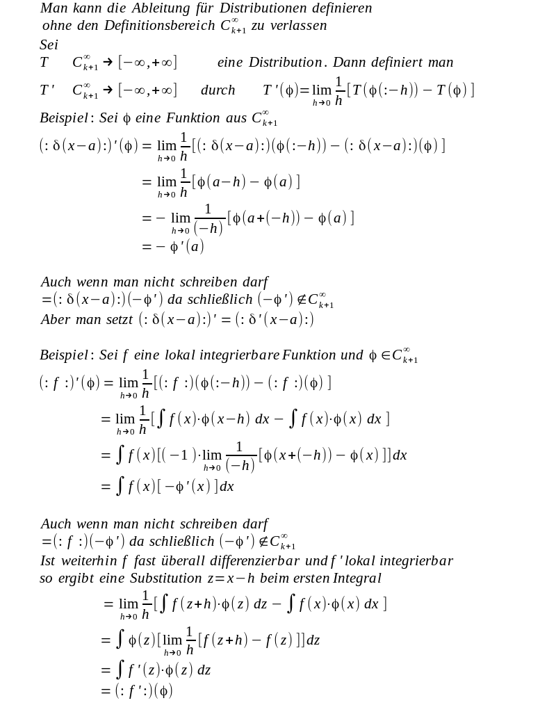
| Gibt man einen x-Wert A Das ist unerheblich denn die Distribution hat als Definitionsbereich Für Distributionen läßt sich die Ableitung einfach über die Ableitung der Testfunktionen erklären: |
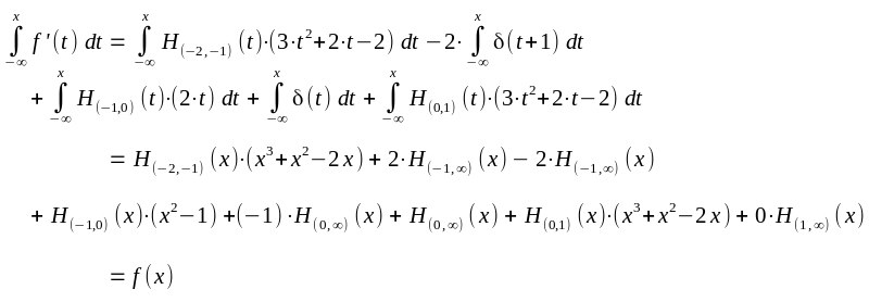
| Es sei hier angemerkt
daß dieses Vorgehen doch nicht ganz so einfach ist. Würde man
etwa als Raum der Testfunktionen Wir gehen hier einmal davon aus daß für T(- Insbesondere ergibt sich daß jede Distribution beliebig oft differenzierbar ist. Ein Beispiel |
| Anschaulich kann man sagen daß an der
Stelle x=0 die Um übersichtlich arbeiten zu können werden einige Definitionen eingeführt. Man braucht rechtsseitigen und linksseitigen Funktionswert und eine an den Punkt a verschobene |
| Damit läßt sich die Ableitung vieler (auch unstetiger) Funktionen im Sinne der Distributionen aufschreiben |
| Beispiel-Sprungfunktion |
| Diese Funktion ist nicht stetig, aber im Sinne der Distributionen beliebig oft differenzierbar. Mit der Treppen-Funktion läßt sich die Funktion in einer Zeile aufschreiben - ein Intervall nach dem anderen |
| Innerhalb der Intervalle
wird natürlich die Tangentensteigung beschrieben. Existiert f(a+) aber nicht, so definiert man die Distributionsableitung durch obigen Ausdruck indem man f(a+)=0 setzt. Entsprechend bei f(b-) . Da in diesen Fällen kein rechtseitiger bzw. linksseitiger Grenzwert existiert, gibt es kein sinnvolles Ergebnis und der "Problempunkt" wird ausgegrenzt. Es ist ähnlich wie bei dem Teilen durch 0 was auch verboten wird. Damit kann man auch folgende Funktionen berücksichtigen. |
| Also H(0,2)(x) sin(1/x) H(-2,0)(x) 1/x² + H(0,1)(x) 1/x² Berechnet man bei diesen Beispielen aber die Integrale über Funktion x Testfunktion so steht man vor der Problematik von divergenten Integralen. Diese Integrale werden dann durch Cauchy-Hauptwert oder Hadamard-Hauptwert so modifiziert daß sich die unendlich hohe Sprunghöhe herausrechnet. Nun wurde der Begriff der Funktion anders gefaßt. Es stellt sich die Frage nach dem Abstand jetzt für Distributionen. Was bedeuted es zu sagen daß zwei Distributionen nahe sind. Was bedeuted es zu sagen daß sich eine Folge von Distributionen an eine andere Distribution annähert. Da die Distributionswerte reelle Zahlen sind kann man einfach auf den Abstand für reelle Zahlen zurückgreifen. Sei a>0 eine reelle Zahl und Ta eine Folge von Distributionen. Dann gilt für eine Distribution T |


| Damit hat man eine Folge von
Funktionen (mit Flächeninhalt 1) die gegen die Dirac-Delta-Funktion
konvergiert. Allerdings ist keines der Folgen-Elemente eine gerade
Funktion, so daß es schwierig zu verstehen ist warum die
Dirac-Delta-Funktion eine gerade Funktion sein soll. Auch ist jedes Folgen-Element in einem ganzen Intervall (-a,+a) identisch 0 . Daher ist es schwierig sich vorzustellen daß die Dirac-Delta-Funktion (die außerhalb Nullpunkt generell 0 ist) im Nullpunkt so stark gegen unendlich geht daß der Flächeninhalt bei 1 bleibt. Solche Vorstellungen sind nur bedingt hilfreich. Der Definitionsbereich der Dirac-Delta-Distribution besteht eben nicht aus x-Werten sondern aus Testfunktionen. Leichte Änderung |
| Damit hat man eine Folge von
Funktionen von denen keines der Folgen-Elemente den Flächeninhalt 1
hat (für a<1/12 wird der Flächeninhalt positiv), die aber den
Flächeninhalt 1 immer mehr annähern. Jedes Folgen-Element ist in einem ganzen Intervall (-a,+a) identisch
-3 . Leichte Änderung |
| Damit hat man eine Folge von
Funktionen deren Negativwert im 0-Punkt über alle Grenzen
anwächst für a -> 0 . Dies kann man schnell erweitern. Sei u eine stetige Funktion mit u(x)>0 für jedes reelle x. |
| Damit ist u(x) auf jedem
Intervall integrierbar mit endlichem Flächeninhalt. Und mit der
Treppenfunktion kann man einfach Funktionenfolgen ausschneiden mit Flächeninhalt 1. |
| Und natürlich kann man noch
weitaus mehr Folgen finden die gegen die Dirac-Delta-Funktion konvergieren
- im Sinne der Distributionen.
Nun kann man sich vorstellen daß die Dirac-Delta-Funktion sich räumlich verändert wenn man ein Zeitintervall betrachtet. Dann gibt es einen Zeitparameter t und eine zeitabhängige Dirac-Delta-Funktion Ist die Funktion f stetig so ist auch die Raumverschiebung der zeitabhängigen Dirac-Delta-Funktion "stetig", denn für a -> 0 (: Die Testfunktionen geben die Eigenschaften der Funktion f an die Distribution weiter. Damit kann man auch die Ableitung nach dem Zeitparameter aufschreiben. |
| Und es gibt einen anderen Zugang zur Ableitung einer Distribution. |
| Damit ist der Satz Wir gehen hier einmal davon aus daß für T(- überflüssig geworden denn T(- |
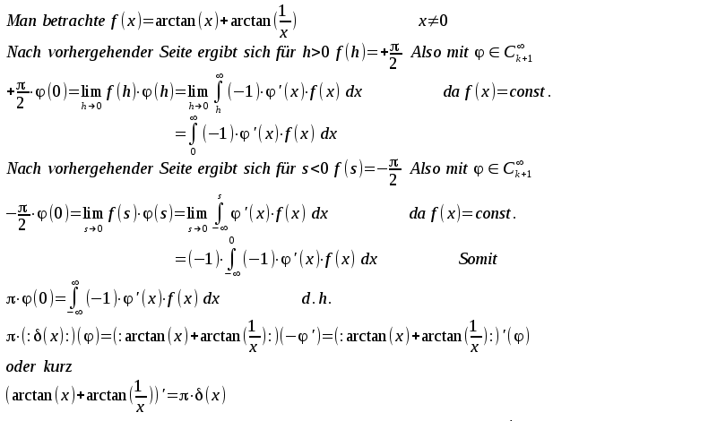
| Eine zusammenfassende Bemerkung zu |
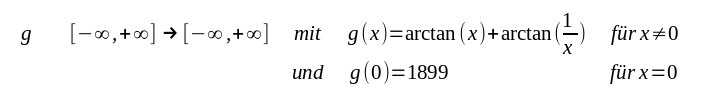
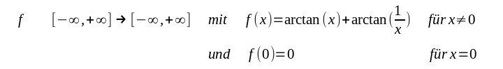
| Zunächst muß man eine Funktion definieren z.B. |
| Diese Funktion f ist im klassischen Sinne differenzierbar wenn man den Nullpunkt ausschließt. Strenggenommen darf man aber nicht schreiben |
| da dieser Ausdruck der Wert der Funktion f an der Stelle x ist. Also ein ganz bestimmter Funktionswert und dieser ist nicht differenzierbar. Trotzdem weiß eigentlich jeder dass damit die Ableitung der Funktion f gemeint ist. Und so ist es auch im Distributionensinn. Hier bedeuted es die Distributionsableitung der regulären Distribution die durch f erzeugt wird. Eine andere Sinngebung ist eigentlich nicht möglich und die Schreibweise verdeutlicht sofort welche Funktion f gemeint ist. Trotzdem gibt es weiterhin Unklarheiten. Definiert man den Wert im Nullpukt anders, z.B. mit der Funktion |
| dann sind die Funktionen f und g nicht gleich, aber beide erzeugen die
gleiche reguläre Distribution. Nun kann man meinen daß der Wert
einer Funktion in einem einzelnen Punkt nicht entscheidend für das
Verhalten der abstrakten Funktion ist. Aber die Die Die Mathematiker wollen ein formal einwandfreies Gedankengebäude und nehmen einen Testfunktionenraum ohne die Einschränkung von nichtnegativ und ohne Flächeninhalt=1 . Dann kann man die Ableitung einer Distribution T gut definieren über |
| Die Physiker möchten den Zusammenhang von Funktion und Distribution und stützen sich auf das Integral das den von Funktionen erzeugten Distributionen zugrundeliegt. |
| Diese Schreibweise wird auch für die Delta-Distribution verwendet obwohl hier dem Integral keine exakte Bedeutung zukommt, denn die Delta-Distribution ist nicht integrierbar. |
| Analog den Regeln für Integrale werden dann formale Regeln für die Delta-Distribution entwickelt obwohl hier doch keine Integrierbarkeit vorliegt. |
| Ein Beispiel dazu ist |
| Zunächst muß man sich fragen was die Multiplikation einer
Funktion (Definitionsbereich reelle Zahlen) mit einer Distribution
(Definitionsbereich Testfunktionen) bedeuten soll. Auch die Bedeutung der
Multiplikation zweier Distributionen ist unklar. Die Integrierbarkeit
eines solchen Objektes ist ebenfalls nicht erklärt. Die Physiker benutzen bekannte Mathematik-Regeln und verwenden diese "analog". Eine Sinngebung wäre folgendermaßen möglich: Wenn für die Funktionen Differenzierbarkeit und lokale Integrierbarkeit vorliegen so gilt für die reguläre Distribution erzeugt von g.h |
| Im Sinne der Distributionen. Also eine Beziehung für die regulären Distributionen erzeugt von den Funktionen g.h g'.h g.h' |
| Sofern die Funktion f im klassischen Sinne differenzierbar ist, sowie
f und f' lokal integrierbar sind, stehen rechts die regulären
Distributionen erzeugt von den Funktionen f.H und f'.H. Damit wäre
die Multiplikation einer Funktion mit der Delta-Distribution sinnvoll als
Distribution erklärt. Integrierbar ist dieses Objekt allerdings immer noch nicht. Aber man kann sich an die grundlegende Eigenschaft für Integrale erinnern |
| Hat man jetzt eine Distribution die von einer Funktion f erzeugt wird
für die f(b) und f(a) sinnvoll existieren (z.B. durch stückweise stetige Funktionen für die an den Unstetigkeitsstellen rechtsseitiger und linksseitiger Grenzwert existieren) so kann man das "Integral für Distributionen" DEFINIEREN über diesen Ausdruck. Und damit kann man rechnen |
| Damit wäre die Gleichheit |
| nachgewiesen. Man kann auch nachrechnen |
|
Die andere Möglichkeit zur Definition ist die Annäherung durch eine Folge von Flächeninhalten. Man denke an die irrationalen Zahlen die niemals exakt berechnet werden können - aber man kann sie durch Bruchzahlen beliebig genau annähern. Also nimmt man eine Folge von integrierbaren Funktionen deren reguläre Distributionen gegen Dazu kann man die Funktionen |
| verwenden. Es ergibt sich: |
| Damit steht der Annäherungs-Flächeninhalt schon fest. Es bedeuted |
| schlicht die Definition eines sonst völlig unklaren Ausdruckes. |
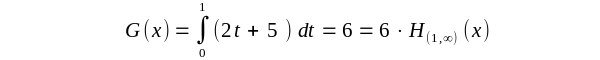
| Stammfunktionen: Zunächst kann man folgende Funktion betrachten |
![]()
| Wie sieht für diese Funktion die Stammfunktion aus? Eine Stammfunktion bestimmt sich durch |
| Da für t<0 g(t)=0 gilt, sollte auch für x<0 G(x)=0
gelten. Also für x<1 |
| Ist aber 1<x so berechnet G(x) den kompletten Flächeninhalt. |
| Damit ergibt sich eine Stammfunktion |
| Ist G(x) eine Stammfunktion so ist auch immer G(x)+C eine Stammfunktion für jede Zahl C |
| Im Allgemeinen ist die Funktion G nicht im klassischen Sinne
differenzierbar. Versteht man g als reguläre Distribution so ist auch G eine reguläre Distribution. Und mit der Ableitung für Distributionen ergibt sich G'(x)=H(a,b)(x).u(x)+0. im Sinne der Distributionen. Und mit dem obigen (formalen) Integralbegriff kann man auch Stammfunktionen für Distributionen berechnen - vielleicht besser als Stammdistributionen bezeichnet. Dazu wird die Ableitung der obigen Beispiel-Sprungfunktion benutzt |
| im Sinne der Distributionen |
| Noch eine Anmerkung zu dem formalen Integralbegriff für eine Distribution die von einer stückweise stetigen Funktion f erzeugt wird: |
| Es wurde gefordert daß f(b) und f(a) sinnvoll existieren. Dies
ist an einer Unstetigkeitsstelle aber nicht gegeben. f(Unstetigkeitsstelle) ist völlig unklar und für die Distribution die von der Funktion f erzeugt wird auch ganz bedeutungslos. Daher existiert das folgende Integral NICHT: |
| Ein Rechnen damit führt zu Widersprüchen |
| Aber auch |
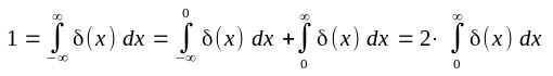
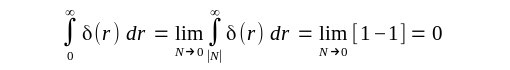
| Für Physiker ist die Delta-Funktion eine gerade Funktion und folglich berechnen sie auch 1/2 |
| Dieses Integral ist physikalisch von zentraler Bedeutung für
kugelsymmetrische Berechnungen, wobei dann x=r der Radius ist. Allerdings gilt für jedes noch so kleine N>0. |
|
Physikalisch kann man nicht nachprüfen ob sich ein Objekt genau bei r=0 befindet. Man kann nur sagen daß ein Objekt sehr nahe bei r=0 zu finden ist. |